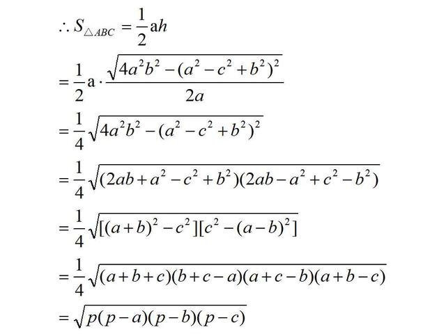
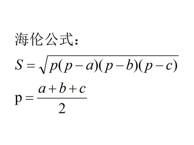
三角形海伦公式推导证明 MySEO专员 2023-09-04 23:01:10 知识库 浏览:208次 海伦公式及其推导过程三角形海伦公式推导证明 海伦公式 利用三角形的三条边的边长直接求三角形面积的公式。(a、b、c分别为三角形三条边的边长,p为三角形周长的一半) 推导过程 展开全部 喜欢 () 上一篇:昆布茶是什么(昆布茶的功效与作用) 下一篇:韦应物是哪个朝代的 版权声明:本文内容或图片均来于网络,如若侵权,请联系我们。 相关推荐 三角形海伦公式推导证明 小编推荐 中国的10大超市 女性很少对男性一见钟情 外国女人嫁到中国的人数 女人内心的秘密(女人内部不外传11大机密) 买suv,记住这口诀不纠结 不建议买的10大电视 《禁庭》尤四姐讲的是什么 池中之物是什么意思(池中之物是成语么) 巴沙木是世界上最轻的木材(巴沙木结实吗) 十大恐怖歌曲(这世界十大禁曲) 天福茗茶属于什么档次 太奶奶是什么辈分(曾祖辈) 蒙顶茶属于什么茶 东风夜放花千树,更吹落,星如雨:元宵节 烈日灼心的真相到底是什么 2024年全国禁止电动车是真的吗(叫停电动三四轮车上路)