什么是欧拉常数γ(gamma),
一、什么是欧拉常数
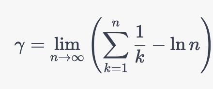
欧拉常数,也称为欧拉-马斯刻罗尼常数或者自然对数的底数的差,是一个重要的数学常数,通常表示为γ(gamma)。欧拉常数的定义式如下:
欧拉常数由瑞士数学家莱昂哈德·欧拉在1735年首次引入,但是这个常数在欧洲科学史上的出现时间要早得多。例如,约翰尼斯·凯普勒在1619年就提到了这个数,并且已经计算了前几个小数位。欧拉常数在数学分析、组合数学、微积分、统计学等领域都有广泛的应用。
欧拉常数在微积分中有特别重要的应用。例如,欧拉常数是自然对数的底数的差,因此可以用来转化指数函数和对数函数之间的计算。此外,在微积分中,欧拉常数还被用来定义调和级数和黎曼积分,这些概念在数学分析和实际问题中都具有重要意义。
在组合数学中,欧拉常数与斯特林数、排列组合数等相关,被广泛应用于计算问题的概率和分布。在统计学中,欧拉常数还被用于计算样本的标准差和方差等基本统计量。
总之,欧拉常数在数学中具有重要意义和广泛应用,是数学分析和其它领域中不可或缺的重要工具。
二、欧拉常数有哪些比较有意思的故事
欧拉常数(Euler's constant)是数学中的一个重要常数,通常用字母γ表示,其数值约为0.57721566490153286060651209。
以下是一些与欧拉常数相关的有趣故事:
- 欧拉在研究调和级数的收敛性时,引入了欧拉常数γ。具体而言,他研究了调和级数的前n项和与logarithmic integral函数的差异,并发现当n越来越大时,它们之间的差异逐渐趋近于γ。这个数学常数就因此而生。
- 欧拉常数也可以通过求解黎曼假设的特定积分得到。黎曼假设是一个数学问题,迄今尚未得到完全解决。欧拉常数的出现表明黎曼假设的一些猜想是正确的。
- 欧拉常数在数学中的许多分支中都有出现。例如,在复变函数论中,它是双曲正切函数在零点处的极限值;在微积分学中,它是一些重要级数的极限值。
- 在计算机科学中,欧拉常数也经常被用于生成伪随机数。例如,当计算机需要生成一个随机数时,可以使用欧拉常数γ和当前的时间戳来生成一个伪随机数。
总之,欧拉常数是数学中的一个重要常数,它在数学和计算机科学等领域都有着广泛的应用。

